Menuju Tenggat Pelaporan PDDIKTI Semester 2025/2026 Ganjil, Ini Strategi Persiapannya
06 Apr 2026
BAN-PT merilis IAPS 5.0 melalui Peraturan No. 13 Tahun 2025 sebagai instrumen akreditasi baru untuk prodi di luar cakupan LAM, dengan penilaian lebih sederhana dan fokus pada SN-DIKTI (Permendikbudristek No. 53 Tahun 2023).
SEVIMA.COM – BAN-PT (Badan Akreditasi Nasional Perguruan Tinggi) baru saja merilis versi terbaru dari Instrumen Akreditasi Program Studi (IAPS) 5.0 melalui Peraturan BAN-PT No. 13 Tahun 2025. Instrumen ini dirancang BAN-PT untuk melakukan penilaian akreditasi program studi yang belum masuk dalam cakupan Lembaga Akreditasi Mandiri (LAM).
IAPS 5.0 terdiri atas:
Dalam versi terbaru ini, BAN-PT melakukan perubahan pada sistem penilaian akreditasi program studi dibandingkan dengan versi sebelumnya, IAPS 4.0. Untuk lebih memahami perbedaan antara kedua versi ini dan syarat terakreditasi program studi dibawah BAN-PT, mari kita ulas lebih lanjut.
Perbedaan utama antara IAPS 4.0 dan IAPS 5.0 terletak pada cara BAN-PT mengukur pemenuhan Standar Nasional Pendidikan Tinggi (SN-DIKTI). Pada IAPS 4.0 selain dilakukan penilaian pemenuhan SN-Dikti, juga dilakukan pengukuran sejauh mana program studi melampaui SN-Dikti, dengan cara menetapkan penilaian per indikatornya pada rentang skor 0-4.
Hal ini berbeda dengan IAPS 5.0 yang menilai pemenuhan standar per indikator dengan 0 yang artinya tidak memenuhi SN-DIKTI, dan 1 yang artinya memenuhi SN-DIKTI, serta nilai 2 untuk indikator yang melampaui SN-Dikti untuk raihan status Terakreditasi unggul. Untuk penjelasan singkatnya, berikut perbedaan antara IAPS 4.0 dan 5.0:
| Aspek | Instrumen Akreditasi Program Studi (APS) 4.0 | Instrumen Akreditasi Program Studi (APS) 5.0 |
| Dasar regulasi | Peraturan BAN-PT No. 5 Tahun 2019 tentang Instrumen Akreditasi Program Studi. | Peraturan BAN-PT No. 13 Tahun 2025 tentang Instrumen Akreditasi Program Studi untuk Perolehan Status Terakreditasi Sementara, Status Terakreditasi, dan Status Terakreditasi Unggul. |
| Kategori Status Akreditasi | Status:
| Status:
|
| Penilaian per Indikator | Skor antara 0-4 | Status Terakreditasi: Pemenuhan SN-DIKTI. Skor 0 (tidak memenuhi) atau 1 (memenuhi) Status Terakreditasi Unggul: Pelampauan SN-Dikti. Skor 1 (Tidak Memenuhi Standar Unggul BAN-PT) dan Skor 2 (Memenuhi Standar Unggul BAN-PT). |
| Kriteria Akreditasi | Terdiri dari 9 kriteria, yaitu: 1. Visi, Misi, Tujuan, dan Strategi 2. Tata Pamong, Tata Kelola, dan Kerjasama 3. Mahasiswa 4. Sumber Daya Manusia 5. Keuangan, Sarana, dan Prasarana 6. Pendidikan 7. Penelitian 8. Pengabdian kepada Masyarakat 9. Luaran dan Capaian Tridharma | Terdiri dari 4 kriteria, yaitu: 1. Budaya Mutu 2. Relevansi
3. Akuntabilitas 4. Diferensiasi Misi |
Meskipun ada pembaruan, ada beberapa aspek yang tetap sama antara IAPS 4.0 dan IAPS 5.0, seperti:
Baca juga: 80,4% Kampus Menilai Automasi Pelaporan dan Akreditasi sebagai Kebutuhan Mendesak
Sebagaimana penjelasan sebelumnya bahwa IAPS 5.0 memiliki empat kategori instrumen yang berbeda. Berikut ini karakteristik IAPS 5.0 untuk masing-masing kategori tersebut.
Instrumen untuk status ini bertujuan untuk memenuhi syarat minimum akreditasi saat pembukaan program studi (Gambar 1). Setiap indikator dalam instrumen ini diberikan skor 1 jika memenuhi SN-DIKTI atau skor 0 jika tidak memenuhi. Setiap indikator/sub-indikator mempunyai bobot yang sama sehingga skor maksimum yang dapat diperoleh adalah sama dengan banyaknya indikator/sub-indikator.
Semua indikator dan sub-indikator harus dipenuhi untuk mendapatkan status Terakreditasi Sementara. Program studi yang belum memenuhi satu atau lebih indikator/sub-indikator dapat mengajukan kembali setelah melakukan perbaikan atau kelengkapan data terhadap yang belum dipenuhi.
Instrumen pemenuhan syarat minimum akreditasi dikembangkan oleh BAN-PT bersama Kementerian yang memberikan izin pembukaan program studi dan ditetapkan oleh Majelis Akreditasi. Instrumen ini belum berbasis luaran/dampak karena program studi baru akan dibuka.
Di perguruan tinggi yang sudah beroperasi, Sistem Penjaminan Mutu Internal (SPMI) diharapkan sudah dijalankan secara efektif dan menjadi tolok ukur akreditasi. Sementara itu, di perguruan tinggi yang baru didirikan, SPMI belum berjalan dan hanya menjadi rencana, sehingga pengukuran SPMI lebih menilai kelengkapan perangkatnya sesuai Pasal 69 Permendikbudristek No. 53 Tahun 2023.

b. Status Terakreditasi
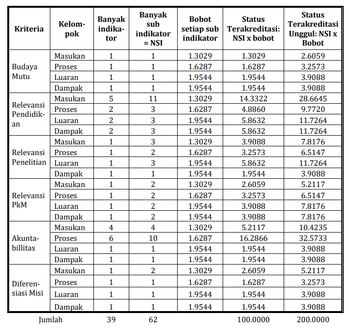
Instrumen akreditasi ulang untuk Status Terakreditasi dan untuk Status Terakreditasi Unggul dengan mekanisme kehadiran asesor masing-masing terdiri dari 39 indikator, dengan total 62 sub indikator. Dalam penilaian setiap butir indikator, skor yang diberikan adalah 1 (jika memenuhi SN-DIKTI) atau 0 (jika tidak memenuhi). Agar memperoleh status Terakreditasi, program studi perlu:
Skor maksimum dihitung berdasarkan jumlah indikator yang memenuhi, dengan bobot yang telah ditentukan. Skor total dihitung dengan mengalikan skor setiap butir indikator dengan bobot masing-masing.

(Gambar: Hasil maksimum untuk Terakreditasi adalah 100 dan Terakreditasi Unggul 200. Sumber: Buku 2 Kriteria, Indikator, Prosedur, Asesmen, dan Penilaian Akreditasi)
Untuk memperoleh status Terakreditasi Unggul, instrumen akreditasi terdiri dari 39 indikator yang lebih rinci, dengan beberapa sub-indikator. Skor yang diterima pada instrumen ini adalah 2 jika memenuhi Standar Unggul BAN-PT dan 1 jika tidak memenuhi. Setiap indikator/sub-indikator memiliki bobot yang berbeda. Untuk mendapatkan status Terakreditasi Unggul, program studi harus:
Baca juga: Hasil Survei 300+ Kampus: SEVIMA Platform Bantu Hemat 30% Biaya Administrasi
Perpanjangan status akreditasi perguruan tinggi kini bisa dilakukan melalui mekanisme automasi. Dengan cara ini, proses akreditasi ulang tidak memerlukan asesmen oleh asesor. Sebagai gantinya, mutu program studi akan dievaluasi berdasarkan data di Pangkalan Data Pendidikan Tinggi (PD-DIKTI).
Karena mekanisme ini bergantung sepenuhnya pada data yang ada di PD-DIKTI, evaluasi tidak melibatkan laporan evaluasi diri atau data kualitatif lainnya (machine to machine).
IAPS 5.0 menekankan pada pengukuran capaian pembelajaran yang lebih terstruktur dan berfokus pada hasil, mengingat tuntutan dunia kerja yang semakin menuntut lulusan yang siap pakai. Dengan ini, perguruan tinggi harus segera menyesuaikan diri dengan instrumen terbaru untuk memastikan kelayakan dan kualitas program studi tetap relevan dengan perkembangan pendidikan dan industri.
Diposting Oleh:

Liza SEVIMA
Tags:
SEVIMA merupakan perusahaan Edutech (education technology) yang telah berkomitmen sejak tahun 2004 dalam menyelesaikan kendala kerumitan administrasi akademik di pendidikan tinggi (Universitas, Sekolah Tinggi, Institut, Politeknik, Akademi, dll.) dengan 99% keberhasilan implementasi melalui SEVIMA Platform, segera jadwalkan konsultasi di: Kontak Kami